• 最新艺考资讯
更多
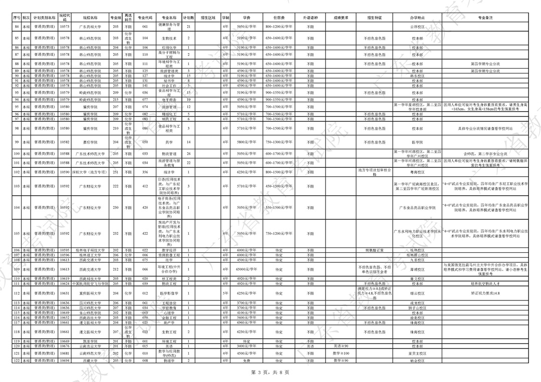
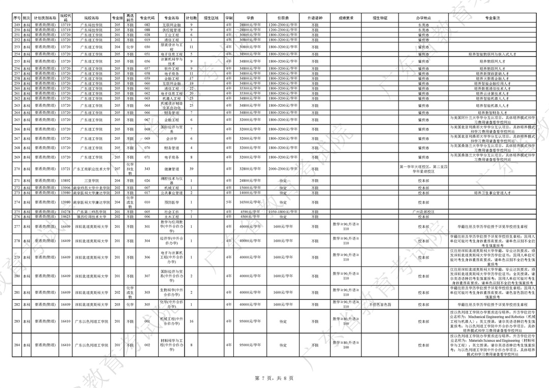
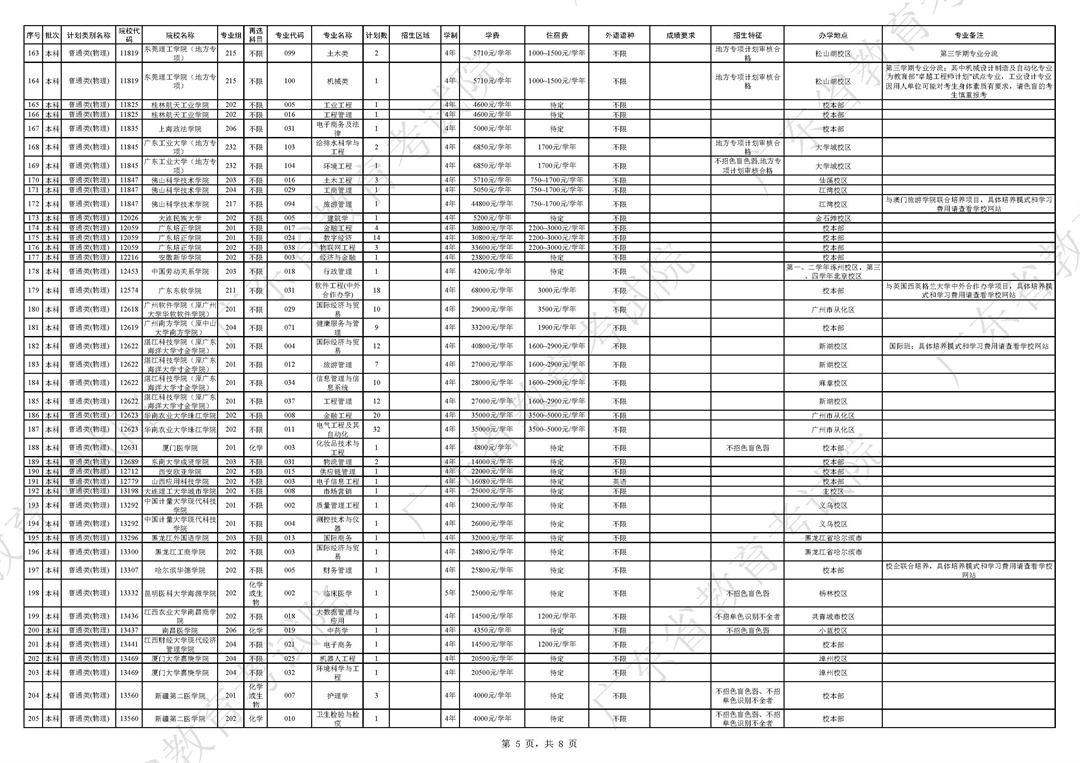
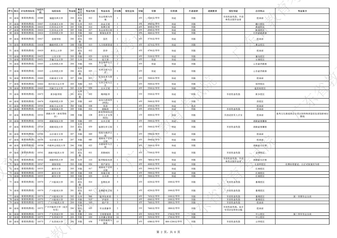
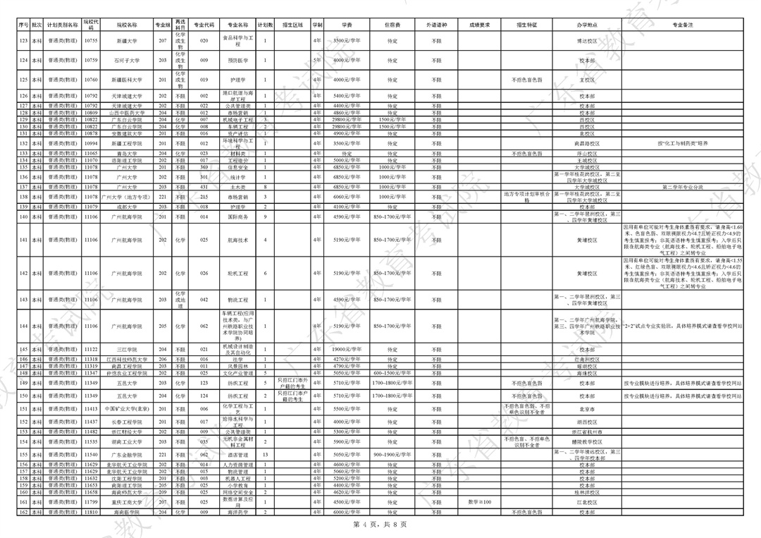
广东省2022年高考本科征集志愿招生计划表物理类
来源:广东省2022年征集志愿 | 作者:广东省2022年征集志愿 | 发布时间: 2022-07-24 | 19454 次浏览 | 🔊 点击朗读正文 ❚❚ | 分享到:
广东省2022年高考本科征集志愿招生计划表物理类


广东省2022年播音与主持招生计划



热门文章