国内知名艺术类专业院校
传媒艺考专业 传媒艺考问答 传媒艺考指南
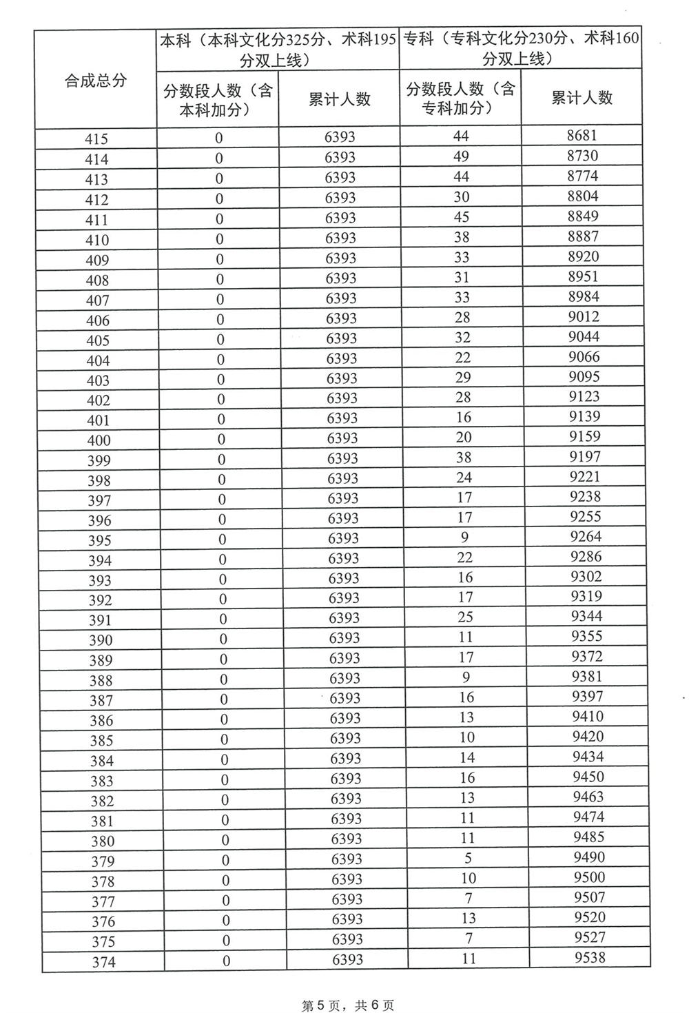
广东省2017年普通高考考生成绩各分数段
广东省2023年普通高考音乐表演-声乐类总分分数段统计表
广州书法艺考培训赵老师书
2025-11-11
市场价:
价格:
广州舞蹈艺考五一集训营等
2025-04-30
2026届音乐艺考主考星
2025-03-20
2024年广州第二期流行
2024-08-09
广州2024年播音主持语
2024-04-23
武汉晨曦音乐艺考培训学校
2023-05-13
广州美术学院2026年普通本科招生简章
2025-12-20
西安音乐学院2026年本科招生专业考试第一阶
2026-01-13
广东省2026年普通高校招生美术与设计类、书
2026-01-09
考武汉音乐学院作曲系,去哪家作曲艺考培训机构
2026-01-08
广州作曲艺考培训机构哪家强?多芬为你量身定制
浙江音乐学院2026年全日制本科招生简章
2026-01-04
广西艺术学院关于公布2026年艺术类本科校考
2026-01-05
广西艺术学院2026年本科校考专业招生简章
西安音乐学院2026年本科招生简章
星海音乐学院2026年本科招生简章
DUO FEN media arts
多芬传媒艺考培训为每位传媒艺考生定制辅导方案,
填写信息即可预约免费试课,获得专家择校指导
西安音乐学院2026年本科招生专业考试第一阶段视频考试公告
广东省2026年普通高校招生美术与设计类、书法类、播音与主持类(含粤语)和表(导)演类(服装表演方向)专业省统考合格线公布
广西艺术学院关于公布2026年艺术类本科校考专业招生考试报名、考试时间等有关事项的通知
南京艺术学院2026年本科招生简章
深圳大学2026年外语类保送生招生简章
上海戏剧学院2026年艺术类校考专业本科招生简章
2026-01-03
2018-06-28
请党放心,强国有我!
2019年广东音乐联考钢琴考试规定曲目
西安音乐学院2021年本科招生简章
四川音乐学院2018年本科招生简章(非四川考
电影《我不是药神》视听语言分析
四川音乐学院2018年省内招生简章(四川省考
2019年广东音乐联考声乐考试规定曲目
2019年广东普通高考报名时间2018年12
沈阳音乐学院附中2021年招生简章
广东省关于调整高等教育自学考试部分专业主考学