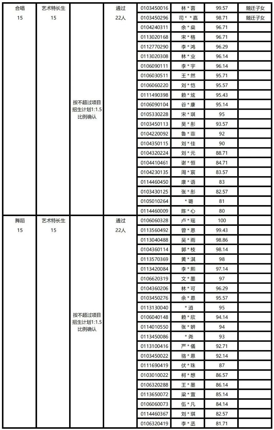
根据《广州市教育局关于印发2025年普通高中学校体育艺术类特长生招生计划的通知》精神,以及《广州市教育局关于印发〈2024年普通高中学校体育艺术类特长生自主招生工作方案〉的通知》(穗教发〔2024〕8号)规定,结合我校招生简章要求,现对我校2025年体育艺术类特长生自主招生专业测试结果进行公示。
荔湾校区




本次公示期为5月20日—5月26日。公示期间,考生或家长如有疑议,可向我校反映。
荔湾校区电话:020-81261261,020-81261280
花都校区电话:020-32573988,020-32573958
来源 教务处
DUO FEN media arts
多芬传媒艺考培训为每位传媒艺考生定制辅导方案,
填写信息即可预约免费试课,获得专家择校指导
2026-03-28
本文针对广东省文化课 400 分以下、冲本科困难的高中生及家长,直击普通高考 “分数天花板” 痛点,提出传媒艺考作为低分升学破局方案。
热门搜索: 广州多芬传媒艺考培训 广州影视表演艺考培训 广州摄影艺考培训 广东传媒艺考培训机构 广州编导培训机构 广州播音主持 广州传媒艺考培训学校 深圳传媒艺考培训机构
戏剧影视表演 播音主持艺术 影视配音
导演与表演 空中乘务 服装表演
播音主持双语播音 播音主持粤语播音
播音主持影视配音 播音主持商务礼仪
艺考培训服务地区广州市 深圳市 中山 惠州 佛山 东莞 清远 汕头 揭阳 梅州 河源 潮州 湛江 茂名 肇庆 云浮 江门 阳江 韶关 汕尾 珠海传媒艺考培训班 艺考大学招生
音乐艺考班 音乐表演班 钢琴表演班 声乐表演班 民乐表演班 录音艺术班 作曲艺考班 流行乐器演奏 流行演唱 音乐教育 音乐学 乐器修造 艺术管理
舞蹈艺考班 舞蹈表演 舞蹈编导
舞蹈教育 体育舞蹈 民族民间舞蹈
音乐考研班 传媒考研班 作曲考研班